Figure 1. Harvesting triticale forage plots in Keedysville, MD on April 26, 2021.

Figure 1. Harvesting triticale forage plots in Keedysville, MD on April 26, 2021.

Updated: November 25, 2025
By Amanda Grev, Ph.D. , and Jeff Semler

Research Update: Effect of Soil Fertility on Triticale Yield and Quality

It is well known that cover crops can provide many benefits in terms of soil health and nutrient retention, but in addition to this, winter forages can also serve as a high yielding and high quality forage crop for feeding livestock. Winter forages like triticale have been found to yield 2 to 6 tons of dry matter per acre and can produce forage with 180+ RFQ (relative forage quality) and 17 to 20% CP (crude protein). As a result, triticale silage has become a popular forage choice for many dairy producers to increase forage supply.

Given this, triticale has the potential to be not only a high quality forage but also a good source of protein for livestock, potentially even a more economical alternative compared to other feed ingredients such as soybean meal for meeting ration protein needs.

To produce this high yielding, high quality forage, good management is essential. The yield potential for winter forages is largely based on planting date and fall nitrogen availability; these two critical factors determine the number of fall tillers, which sets the yield potential for the following spring. To support these higher yields while maintaining high forage protein concentrations, winter forages require adequate nitrogen and sulfur fertility. Previous research evaluating nitrogen fertility rates for triticale found that providing additional spring nitrogen was not only successful, but economically advantageous as a means to increase forage protein content and offset soybean meal costs.

“...additional nitrogen fertility can influence forage protein concentrations and triticale can take up additional nitrogen without increasing leaching losses.“

FOCAL POINT

  • Objectives are to determine:
    • The effect of increasing nitrogen fertility rates (0, 50, 100, or 150 lb N/acre)with or without sulfur (0 or 15 lb/acre) on triticale yield and quality
    • The economic impact of this strategy on the dairy herd
       
  • %CP increased with increasing nitrogen application rate (up to 18% for the 150N treatment) regardless of sulfur inclusion
     
  • Forage yields were similar among the treatments that received nitrogen
     
  • Soil nitrate concentrations were unaffected, indicating minimal nitrogen leaching

 

With that, the objectives of this study were 1) to investigate the effect of increasing nitrogen (N) fertility rates with and without sulfur (S) on triticale yield and quality, 2) to evaluate production implications when incorporating the forage into dairy cow diets, and 3) to assess the economics of this strategy as a means to meet ration protein needs. This was accomplished via an initial field trial to assess soil nutrient status, forage quality, and forage yield of triticale under varying nitrogen and sulfur fertility treatments, followed by a feeding study to assess dairy cow milk production and performance when fed the resulting forage, and finally an economic analysis to assess the effectiveness of the system.

Methods

Field trials were completed during the winters of 2020-2021, 2021-2022, and 2022-2023. In September of each year, triticale was established in replicated fields at both the Central (Clarksville) and Western (Keedysville) Maryland Research and Education Centers. Fertility treatments included increasing levels of nitrogen with and without the addition of sulfur and are depicted in Table 1. Fertility treatments were applied in March of each year, and soil nitrate samples were collected before and after fertilizer application to test for potential losses due to nitrate leaching. Triticale plots were harvested when forage reached the boot stage in late April. At both locations, plots were harvested mechanically using a forage harvester (Figure 1). Harvested forage was weighed for yield determination and subsamples were taken for forage quality analysis.

 

Table 1. Fertility treatments applied to replicated triticale plots
TreatmentNitrogen (lb/A)Sulfur (lb/A)
CON00
SUL015
NLOW500
NSLOW5015
NMED1000
NSMED10015
NHIGH1500
NSHIGH15015

 

In the fall of 2020 and 2021, triticale was also established in three 5-acre fields at the Clarksville location to provide forage for two feeding studies. The NLOW, NMED, and NHIGH fertility treatments were applied to these fields in March of 2021 and 2022 and the resulting forage was chopped and ensiled using ag bags in late April of each year. With this forage, two feeding studies were completed using Holstein dairy cows at the University of Maryland dairy in Clarksville. Each feeding study was set up as a replicated study design with 28 lactating cows and 4 dietary treatments. Cows were housed in a freestall barn equipped with a Calan door system to allow for individual animal feeding and intake measurements. The standard (ALF) diet contained 60% forage (48% corn silage, 22% alfalfa silage) and 40% concentrate (DM-basis). The LOW, MED, and HIGH diets were formulated by replacing alfalfa silage with NLOW, NMED, or NHIGH triticale silage at a rate of 18-20% of diet DM (Table 2). Cows were randomly assigned to treatments and were fed their respective diet for 21 days before rotating to another treatment; this rotation continued until all cows consumed each dietary treatment. Feed intake, bodyweight, milk production, and milk components were measured throughout each feeding study.

Table 2. Dietary treatments used for dairy feeding studies.
Treatment Corn SilageAlfalfa SilageTriticale SilageGround CornSoybean MealMineral Meal
 ____________________________ % DM  ____________________________
ALF48.121.9-16.42.211.4
LOW47.2-17.516.18.011.2
MED47.2-18.016.17.611.2
HIGH47.2-19.916.15.611.2

Results

Bar graphs showing yield data under different treatments: CON, SUL, NLOW, NSLOW, NMED, NSMED, NHIGH, NSHIGH. CMREC and WMREC sites compared. Bars have labels like A, B, C indicating statistical significance.
Figure 2. Forage yield for triticale forage plots in Clarksville (CMREC) and Keedysville (WMREC) harvested in April 2021 (top) and April 2022 (bottom). Treatments within the same location without a common letter are significantly different (αα=0.05).

Some preliminary results from the first two field seasons (2020-2021 and 2021-2022) and first feeding study (2021) are presented here. In 2021, forage yields for the fertility treatments that included nitrogen were similar but were increased compared to the CON and SUL control treatments (Figure 2). This pattern held true at each location, with yields averaging 2.0 T/A at Clarksville and 2.7 T/A at Keedysville. In 2022, there were no differences in forage yield across any of the different fertility treatments at either location (Figure. 2).

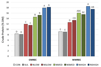
In 2021 at both locations, forage crude protein (CP) concentrations were lowest for the CON and SUL treatments (average 8.7% CP) and increased with increasing fertility, with the NHIGH and NSHIGH treatments containing the greatest amount of protein (average 18% CP; Figure 3 & 4). In 2022, forage CP concentrations did not differ across treatments at either location, averaging 10% CP in Clarksville and 15% CP in Keedysville. Across all fertility treatments in both years, the addition of sulfur did not further increase forage CP concentrations, likely because fields were not limiting in sulfur prior to this experiment.

Bar chart comparing crude protein percentages at CMREC and WMREC across different conditions. CMREC bars show variation from low to high, with significant differences denoted by labels. WMREC bars also vary, with conditions NSLOW and NSMED showing lowest percentages.
Figure 3. Forage crude protein content for triticale forage plots in Clarksville (CMREC) and Keedysville (WMREC) harvested in April 2021. Treatments within the same location without a common letter are significantly different (α =0.05).

Neutral detergent fiber concentrations did not differ between fertility treatments at either location in either year, averaging 51% across all locations and treatments in 2021 and 50% across all locations and treatments in 2022. Similarly, total digestible nutrients did not differ between fertility treatments at either location in either year, averaging 65% across all locations and treatments in 2021 and 66% across all locations and treatments in 2022. At both locations, nitrate concentrations in soil samples taken both pre- and post-fertilizer application remained minimal, indicating no additional nitrogen losses due to leaching.

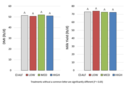
Feeding study results for 2021 found no difference in feed intake or milk production across any of the dietary treatments (Figure 5). Across all treatments, feed intake averaged 51 lb DM per day and milk yields averaged 73 lb per day. Milk components were also similar across dietary treatments, with no differences in milk fat or milk protein concentrations.

Bar chart comparing crude protein percentages at CMREC and WMREC across different conditions. CMREC bars show variation from low to high, with significant differences denoted by labels. WMREC bars also vary, with conditions NSLOW and NSMED showing lowest percentages.
Figure 4. Forage crude protein content for triticale forage plots in Clarksville (CMREC) and Keedysville (WMREC) harvested in April 2022. Treatments within the same location without a common letter are significantly different (α =0.05).

Take Home & Conclusions

Bar graphs comparing dry matter intake and milk yield across four treatments: ALF, LOW, MED, and HIGH.
Figure 5. Dry matter intake (left) and milk yield (right) for dairy cows consuming the control (ALF) or triticale (LOW, MED, HIGH) dietary treatments in a 2021 feeding study. No significant differences (αα=0.05).

Overall, these preliminary results indicate that additional nitrogen fertility in the spring does not produce a consistent yield gain for triticale forage. This was not unexpected; as mentioned earlier, it has been shown that spring yield potential is largely set based on planting date and fertility management in the fall. However, results did show that additional spring nitrogen fertility can influence forage protein, with forage protein concentrations in 2021 increasing from 9 to 18% as additional nitrogen fertilizer was applied. Additionally, low soil nitrate-N concentrations both pre- and post-fertilizer application indicate that there were no leaching losses and that this additional nitrogen was taken up by the triticale forage.

Results from this study also indicate that triticale forage can be used as an alternative to alfalfa silage without affecting milk production or components. Increasing the protein content of triticale silage through nitrogen fertilization did reduce the amount of soybean meal required to maintain dietary crude protein concentrations.

Future Plans

Moving forward, an economic analysis comparing the cost of meeting ration protein needs through increased soil fertility (i.e. increased triticale protein concentrations) versus through traditional sources such as soybean meal or alfalfa will also be completed. Future studies may compare these triticale fertility treatments against a triticale-annual ryegrass and/or triticale-legume combination.

Acknowledgements

We are grateful for the assistance provided by the staff at both the Clarksville Dairy Farm and the Western Maryland Research and Education Center in support of this study. This study was partially funded by the Maryland Agricultural Experiment Station Competitive Grants Program.

This page's content is updated annually with the latest results from the research trial. The information was last updated on 11/25/2025.